header  
 
Link to this page:

Functions

4887 visits

avg rating: 0
0 comments
Tags: (no tags found)
  • The equation of the function of x graphed is y = x2.  What is the range of the function?

    {real numbers}
    {y : y ≥ 0}
    {y : 0 ≤ y ≤ 3}
    {y : -3 ≤ y ≤ 3}


    You have not completed the item above
  • Jan took a taxi to visit the Petrified Forest northwest of Jackson, Mississippi. The
    taxi fare for the trip was $14.80, based on a fixed charge of $2.00 plus a charge of $0.80 for each mile. Which of these could be used to determine m, the number of
    miles that Jan rode in the taxi?

    14.80 = 2.00 + 0.80m
    14.80 = 2.00m + 0.80
    14.80m = 2.00 + 0.80m
    14.80m = 2.00m + 0.80


    You have not completed the item above
  • Angela graphed the following two linear equations on a coordinate grid.

    2x + 3y = 4
    4x + 6y = 7

    Which of these BEST describes the graph of the two linear equations?


    The two lines are parallel.
    The two lines are perpendicular.
    The two lines have the same graph.
    The two lines intersect at only one point.


    You have not completed the item above
  • The formula for the perimeter of a rectangle is P = 2l + 2w. Which expresses l, the length of a rectangle, in terms of p, its perimeter, and w, its width?



    You have not completed the item above
  • During his vacation, it took Sam 5 minutes to write a postcard and 35 minutes to write a letter. If Sam spent an afternoon writing p postcards and l letters to his
    friends, which of the following expressions represents the total number of minutes Sam spent writing to his friends?



    You have not completed the item above
  • It took Allen 6 hours to drive from his house to Highland Camp. If Allen drove at an average speed of 55 miles per hour, about how far is Highland Camp from his house?


    49 miles

    61 miles

    330 miles

    916 miles



    You have not completed the item above
  • The following expression can be used to calculate the total admission cost for a group at the carnival:

    T = 6a + 3c

    where T = the total cost in dollars, a = the number of adults, and c = the number of children. What is the total cost for 2 adults and 4 children?


    9 dollars

    15 dollars

    18 dollars

    24 dollars



    You have not completed the item above
  • A local delivery service charges $5 plus $0.60 per
    pound to deliver a package in town. This charge can
    be expressed as the formula C = 5 + .6w, where w is
    the weight of the package in pounds. What is the
    charge to deliver a 20-pound package?

    $ 5.60

    $ 6.20

    $17.00

    $25.60



    You have not completed the item above
  • The cost of printing photographs can be calculated
    with the following expression:

    T = 3S + 5L

    where T = the total cost in dollars, S = the number of
    small photographs printed, and L = the number of large
    photographs printed.

    What is the total cost of printing 4 small photographs
    and 6 large photographs?


    8 dollars
    18 dollars
    39 dollars

    42 dollars



    You have not completed the item above
  • John rented a truck for a week to move across the country to his new home. The
    truck rental company charged $19.95 per day and an additional $0.25 for each mile the truck was driven. The graph shows the daily charge for the rental.

    What is the domain of this graph?


    {1, 2, 3, 4, 5}

    {M, T, W, TH, F}

    {25, 50, 75, 100, 125}

    {58, 76, 71, 89, 39}



    You have not completed the item above
  • The table shows the relationship between x, the age of a girl and y, her average weight.

    x, the age of a girl and y, her average weight.

    If the relationship between the age and the average weight of a girl is linear, which of these could represent the data in the table?


    y = 5x + 20
    x = 5y + 20
    y = 7x + 35
    x = 7y + 35


    You have not completed the item above



  • You have not completed the item above
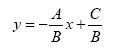
  • The standard form of a linear equation is Ax + By = C . Which of these is the same linear equation rewritten in slope-intercept form?


     
     
     
     


    You have not completed the item above
  • Which of these equations is a linear equation?



    You have not completed the item above
  • For a bakery, the cost of making each day’s batch of doughnuts is given by the equation below, where C is the total cost in dollars of making a batch of doughnuts and N is the number of doughnuts in the batch. C = 30 + 0.1N If the number of doughnuts in a batch is increased by 20 doughnuts, by how much will the cost of a batch increase?

    $2.00
    $2.20
    $20.00
    $220.00


    You have not completed the item above
  • Which of the following situations could be represented by the equation y = 3x + 5?

    A bricklayer lays 5 bricks in 3 minutes. What is the total number of bricks he can lay in x minutes?
    An express package costs $5 plus $3 per pound to ship. What is the total cost for x pounds?
    A jogger is 3 miles from home, jogging toward home at 5 miles per hour. What is the total number of minutes it will take her to get home?
    A math teacher gave some problems worth 5 points and a bonus problem worth 3 points. What was the total value of the problems?


    You have not completed the item above
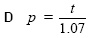
  • In a region with a sales tax of 7%, the total cost of a purchase is calculated using the formula t = 1.0p + 0.07p, where t represents the total cost and p represents the price of the item to be purchased. Which equation correctly shows the price of the item in terms of t?



    You have not completed the item above
  • The table shows values for x and y. Which of these equations represents the relationship between x and y?



    You have not completed the item above
  • The height of a building is 8 feet less than three times its width. If y represents the width of the building, which of the following expressions represents its height?

    3y – 8
    8(3 + y)
    3y ÷ 8
    (8 + y) ÷ 3


    You have not completed the item above
You completed 0 out of 19 gradeable items on this page
This page is worth a total of 0 points
©2006 Octavius